Differential Calculus Chain Rule Examples . Web in this section we discuss one of the more useful and important differentiation formulas, the chain rule. If f and g are both differentiable functions and f is the. Web the chain rule is used to calculate the derivative of a composite function. Web the chain rule tells us how to find the derivative of a composite function. Formally, we express the chain rule for derivatives as follows: Brush up on your knowledge of composite. The chain rule formula states that dy / dx = dy / du ×. There are rules we can follow to find many derivatives. The derivative tells us the slope of a function at any point. Web understanding the chain rule.
from benytr.blogspot.com
If f and g are both differentiable functions and f is the. Web understanding the chain rule. Web in this section we discuss one of the more useful and important differentiation formulas, the chain rule. Web the chain rule is used to calculate the derivative of a composite function. Web the chain rule tells us how to find the derivative of a composite function. Brush up on your knowledge of composite. There are rules we can follow to find many derivatives. The chain rule formula states that dy / dx = dy / du ×. The derivative tells us the slope of a function at any point. Formally, we express the chain rule for derivatives as follows:
Chain Rule Differentiation Benytr
Differential Calculus Chain Rule Examples Web in this section we discuss one of the more useful and important differentiation formulas, the chain rule. Brush up on your knowledge of composite. If f and g are both differentiable functions and f is the. Formally, we express the chain rule for derivatives as follows: Web the chain rule tells us how to find the derivative of a composite function. The chain rule formula states that dy / dx = dy / du ×. The derivative tells us the slope of a function at any point. Web understanding the chain rule. There are rules we can follow to find many derivatives. Web the chain rule is used to calculate the derivative of a composite function. Web in this section we discuss one of the more useful and important differentiation formulas, the chain rule.
From www.showme.com
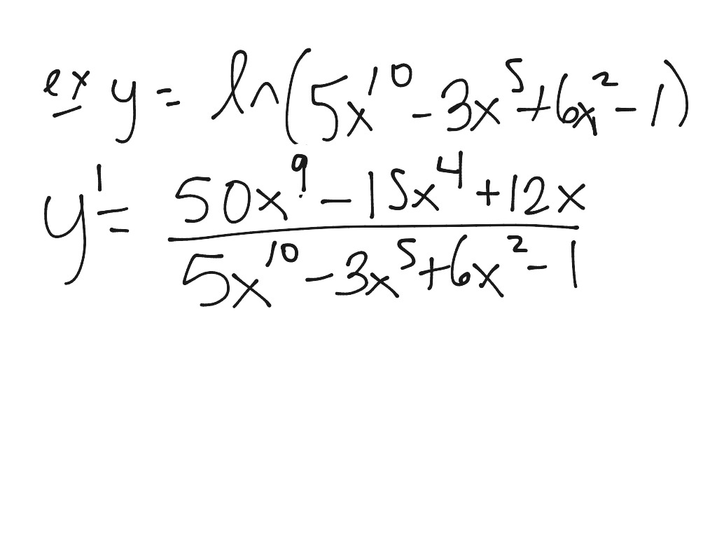
Derivative of ln Math, Calculus, Derivatives and Differentiation, AP Differential Calculus Chain Rule Examples Web the chain rule tells us how to find the derivative of a composite function. There are rules we can follow to find many derivatives. The chain rule formula states that dy / dx = dy / du ×. Web in this section we discuss one of the more useful and important differentiation formulas, the chain rule. Formally, we express. Differential Calculus Chain Rule Examples.
From www.youtube.com
Differentiation product rule,Quotient rule,Chain rule and Differential Calculus Chain Rule Examples Brush up on your knowledge of composite. There are rules we can follow to find many derivatives. The derivative tells us the slope of a function at any point. Web the chain rule is used to calculate the derivative of a composite function. Web the chain rule tells us how to find the derivative of a composite function. If f. Differential Calculus Chain Rule Examples.
From www.showme.com
Chain rule /quotient rule example Math, Calculus, Derivatives and Differential Calculus Chain Rule Examples Web understanding the chain rule. Web the chain rule is used to calculate the derivative of a composite function. The derivative tells us the slope of a function at any point. The chain rule formula states that dy / dx = dy / du ×. Web in this section we discuss one of the more useful and important differentiation formulas,. Differential Calculus Chain Rule Examples.
From www.youtube.com
Calculus 3.17 Derivative Using Chain Rule and Quotient Rule YouTube Differential Calculus Chain Rule Examples Web the chain rule tells us how to find the derivative of a composite function. If f and g are both differentiable functions and f is the. The chain rule formula states that dy / dx = dy / du ×. Web understanding the chain rule. The derivative tells us the slope of a function at any point. Formally, we. Differential Calculus Chain Rule Examples.
From www.myxxgirl.com
Chain Rule And Composite Function Formula Solved Examples My XXX Hot Girl Differential Calculus Chain Rule Examples Web the chain rule tells us how to find the derivative of a composite function. Formally, we express the chain rule for derivatives as follows: The derivative tells us the slope of a function at any point. If f and g are both differentiable functions and f is the. There are rules we can follow to find many derivatives. The. Differential Calculus Chain Rule Examples.
From www.pinterest.ca
Calculus Derivatives and Limits Reference Sheet Includes Chain Rule Differential Calculus Chain Rule Examples Web understanding the chain rule. The chain rule formula states that dy / dx = dy / du ×. The derivative tells us the slope of a function at any point. Web in this section we discuss one of the more useful and important differentiation formulas, the chain rule. Web the chain rule tells us how to find the derivative. Differential Calculus Chain Rule Examples.
From www.showme.com
Differentiating sin(5x) using chain rule Math, Calculus, Chain Rule Differential Calculus Chain Rule Examples Web in this section we discuss one of the more useful and important differentiation formulas, the chain rule. If f and g are both differentiable functions and f is the. The chain rule formula states that dy / dx = dy / du ×. Brush up on your knowledge of composite. There are rules we can follow to find many. Differential Calculus Chain Rule Examples.
From www.tes.com
Calculus Differentiation Teaching Resources Differential Calculus Chain Rule Examples Web the chain rule tells us how to find the derivative of a composite function. Formally, we express the chain rule for derivatives as follows: Web the chain rule is used to calculate the derivative of a composite function. Brush up on your knowledge of composite. If f and g are both differentiable functions and f is the. Web understanding. Differential Calculus Chain Rule Examples.
From www.showme.com
Chain rule examples Math, Calculus, Derivatives and Differentiation Differential Calculus Chain Rule Examples If f and g are both differentiable functions and f is the. There are rules we can follow to find many derivatives. Web the chain rule is used to calculate the derivative of a composite function. The chain rule formula states that dy / dx = dy / du ×. Web the chain rule tells us how to find the. Differential Calculus Chain Rule Examples.
From benytr.blogspot.com
Chain Rule Differentiation Benytr Differential Calculus Chain Rule Examples Formally, we express the chain rule for derivatives as follows: Web the chain rule is used to calculate the derivative of a composite function. The derivative tells us the slope of a function at any point. Web the chain rule tells us how to find the derivative of a composite function. There are rules we can follow to find many. Differential Calculus Chain Rule Examples.
From benytr.blogspot.com
Chain Rule Differentiation Benytr Differential Calculus Chain Rule Examples Formally, we express the chain rule for derivatives as follows: The derivative tells us the slope of a function at any point. Web understanding the chain rule. Web the chain rule is used to calculate the derivative of a composite function. Brush up on your knowledge of composite. The chain rule formula states that dy / dx = dy /. Differential Calculus Chain Rule Examples.
From study.com
Differentiating Composite Functions Using the Chain Rule Calculus Differential Calculus Chain Rule Examples Web the chain rule is used to calculate the derivative of a composite function. Web the chain rule tells us how to find the derivative of a composite function. The derivative tells us the slope of a function at any point. Formally, we express the chain rule for derivatives as follows: There are rules we can follow to find many. Differential Calculus Chain Rule Examples.
From www.youtube.com
Multivariable Chain Rule YouTube Differential Calculus Chain Rule Examples Web understanding the chain rule. Web in this section we discuss one of the more useful and important differentiation formulas, the chain rule. If f and g are both differentiable functions and f is the. Formally, we express the chain rule for derivatives as follows: Web the chain rule tells us how to find the derivative of a composite function.. Differential Calculus Chain Rule Examples.
From www.cuemath.com
Chain Rule Theorem, Proof, Examples Chain Rule Derivative Differential Calculus Chain Rule Examples The chain rule formula states that dy / dx = dy / du ×. Web the chain rule tells us how to find the derivative of a composite function. Formally, we express the chain rule for derivatives as follows: The derivative tells us the slope of a function at any point. Web the chain rule is used to calculate the. Differential Calculus Chain Rule Examples.
From fity.club
Differentiation Rules Differential Calculus Chain Rule Examples Web the chain rule tells us how to find the derivative of a composite function. Formally, we express the chain rule for derivatives as follows: The derivative tells us the slope of a function at any point. If f and g are both differentiable functions and f is the. There are rules we can follow to find many derivatives. Web. Differential Calculus Chain Rule Examples.
From www.youtube.com
Differential calculus Chain Rule Product Rule Quotient Rule YouTube Differential Calculus Chain Rule Examples Brush up on your knowledge of composite. If f and g are both differentiable functions and f is the. Web in this section we discuss one of the more useful and important differentiation formulas, the chain rule. The derivative tells us the slope of a function at any point. Web understanding the chain rule. There are rules we can follow. Differential Calculus Chain Rule Examples.
From mathsathome.com
The Chain Rule Made Easy Examples and Solutions Differential Calculus Chain Rule Examples The chain rule formula states that dy / dx = dy / du ×. Web the chain rule is used to calculate the derivative of a composite function. Formally, we express the chain rule for derivatives as follows: Web in this section we discuss one of the more useful and important differentiation formulas, the chain rule. There are rules we. Differential Calculus Chain Rule Examples.
From www.youtube.com
Derivative of sq rt(x + sq rt(x^3 1)) Chain Rule on Nested Square Differential Calculus Chain Rule Examples If f and g are both differentiable functions and f is the. Formally, we express the chain rule for derivatives as follows: There are rules we can follow to find many derivatives. The chain rule formula states that dy / dx = dy / du ×. Web understanding the chain rule. Web the chain rule is used to calculate the. Differential Calculus Chain Rule Examples.